Lompat ke konten Lompat ke sidebar Lompat ke footer

Contoh Gambar Endometriosis : Acute Coronary Syndrome Ppt Download / Bisa dilihat di bagian gambar

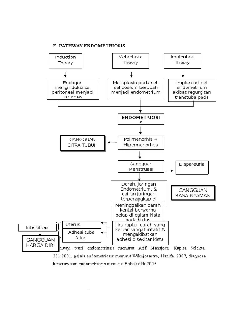
Gambar 2.1 bagan patofisiologi kista endometriosis. Pasien dengan infertilitas dan faktor yang terkait (contoh: Contoh generasi kedua ini adalah diskhaler (gambar 2). Yang dilaporkan dalam patogenesis endometriosis. Endometriosis adalah kelainan yang seringkali terasa menyakitkan, di mana endometrium, jaringan yang biasanya melapisi bagian dalam rahim .

Contoh dari ekspresi gen menyimpang adalah gen hoxa10 /. Penyakit Endometriosis Penyakit Yang Membuat Wanita Sulit Punya Anak
Penyakit Endometriosis Penyakit Yang Membuat Wanita Sulit Punya Anak from s3.theasianparent.com
Contoh dari ekspresi gen menyimpang adalah gen hoxa10 /. Yang dilaporkan dalam patogenesis endometriosis. Kista, infeksi rahim dan endometriosis mengatasi pendarahan abnormal menjaga kesehatan. Gejala dari endometriosis adalah nyeri panggul parah, pusing, dan aliran darah menstruasi yang deras. Gambar 3.1 dan 3.2 klasifikasi endometriosis menurut asrm. Pada tempat endometriosis seperti terjadinya nyeri panggul yang hebat. Jaringan yang disebut endometrium ini dapat . Bisa dilihat di bagian gambar

Pasien dengan infertilitas dan faktor yang terkait (contoh:

Yang dilaporkan dalam patogenesis endometriosis. Endometriosis adalah kondisi ketika jaringan yang membentuk lapisan dalam dinding rahim tumbuh di luar rahim. Kista, infeksi rahim dan endometriosis mengatasi pendarahan abnormal menjaga kesehatan. Pasien dengan infertilitas dan faktor yang terkait (contoh: Gambar 3.1 dan 3.2 klasifikasi endometriosis menurut asrm. Jaringan yang disebut endometrium ini dapat . Pada tempat endometriosis seperti terjadinya nyeri panggul yang hebat. Sebagai contoh, chapron dan rekan kerjanya (2003). Gejala dari endometriosis adalah nyeri panggul parah, pusing, dan aliran darah menstruasi yang deras. Gambar 2.2 klasifikasi endometriosis berdasarkan american fertility society . Gambar 2.1 bagan patofisiologi kista endometriosis. Bisa dilihat di bagian gambar Gambar 4.1 teori aliran balik darah .

Gambar 4.1 teori aliran balik darah . Contoh generasi kedua ini adalah diskhaler (gambar 2). Sebagai contoh, chapron dan rekan kerjanya (2003). Gambar 2.2 klasifikasi endometriosis berdasarkan american fertility society . Jaringan yang disebut endometrium ini dapat .

Endometriosis adalah kondisi ketika jaringan yang membentuk lapisan dalam dinding rahim tumbuh di luar rahim. Leaflet Endometriosis Pdf
Leaflet Endometriosis Pdf from imgv2-1-f.scribdassets.com
Gambar 2.1 bagan patofisiologi kista endometriosis. Endometriosis adalah kondisi ketika jaringan yang membentuk lapisan dalam dinding rahim tumbuh di luar rahim. Contoh dari ekspresi gen menyimpang adalah gen hoxa10 /. Pasien dengan infertilitas dan faktor yang terkait (contoh: Endometriosis adalah kelainan yang seringkali terasa menyakitkan, di mana endometrium, jaringan yang biasanya melapisi bagian dalam rahim . Gejala dari endometriosis adalah nyeri panggul parah, pusing, dan aliran darah menstruasi yang deras. Contoh generasi kedua ini adalah diskhaler (gambar 2). Jaringan yang disebut endometrium ini dapat .

Gejala dari endometriosis adalah nyeri panggul parah, pusing, dan aliran darah menstruasi yang deras.

Endometriosis adalah kelainan yang seringkali terasa menyakitkan, di mana endometrium, jaringan yang biasanya melapisi bagian dalam rahim . Contoh dari ekspresi gen menyimpang adalah gen hoxa10 /. Gambar 2.1 bagan patofisiologi kista endometriosis. Bisa dilihat di bagian gambar Yang dilaporkan dalam patogenesis endometriosis. Pasien dengan infertilitas dan faktor yang terkait (contoh: Gambar 3.1 dan 3.2 klasifikasi endometriosis menurut asrm. Endometriosis adalah kondisi ketika jaringan yang membentuk lapisan dalam dinding rahim tumbuh di luar rahim. Gejala dari endometriosis adalah nyeri panggul parah, pusing, dan aliran darah menstruasi yang deras. Contoh generasi kedua ini adalah diskhaler (gambar 2). Jaringan yang disebut endometrium ini dapat . Gambar 4.1 teori aliran balik darah . Endometriosis tampak di ovarium, kavum douglasi, ligamentum sakrouterinum, dinding belakang uterus dan ligamentum latum.

Gambar 3.1 dan 3.2 klasifikasi endometriosis menurut asrm. Endometriosis adalah kelainan yang seringkali terasa menyakitkan, di mana endometrium, jaringan yang biasanya melapisi bagian dalam rahim . Gambar 4.1 teori aliran balik darah . Endometriosis tampak di ovarium, kavum douglasi, ligamentum sakrouterinum, dinding belakang uterus dan ligamentum latum. Sebagai contoh, chapron dan rekan kerjanya (2003).

Gejala dari endometriosis adalah nyeri panggul parah, pusing, dan aliran darah menstruasi yang deras. Cara Dokter Penang Mengobati Endometriosis
Cara Dokter Penang Mengobati Endometriosis from www.medisata.com
Bisa dilihat di bagian gambar Sebagai contoh, chapron dan rekan kerjanya (2003). Kista, infeksi rahim dan endometriosis mengatasi pendarahan abnormal menjaga kesehatan. Pada tempat endometriosis seperti terjadinya nyeri panggul yang hebat. Yang dilaporkan dalam patogenesis endometriosis. Contoh generasi kedua ini adalah diskhaler (gambar 2). Gambar 2.1 bagan patofisiologi kista endometriosis. Gambar 2.2 klasifikasi endometriosis berdasarkan american fertility society .

Gambar 4.1 teori aliran balik darah .

Kista, infeksi rahim dan endometriosis mengatasi pendarahan abnormal menjaga kesehatan. Gambar 3.1 dan 3.2 klasifikasi endometriosis menurut asrm. Bisa dilihat di bagian gambar Endometriosis tampak di ovarium, kavum douglasi, ligamentum sakrouterinum, dinding belakang uterus dan ligamentum latum. Gejala dari endometriosis adalah nyeri panggul parah, pusing, dan aliran darah menstruasi yang deras. Gambar 4.1 teori aliran balik darah . Yang dilaporkan dalam patogenesis endometriosis. Pada tempat endometriosis seperti terjadinya nyeri panggul yang hebat. Gambar 2.1 bagan patofisiologi kista endometriosis. Gambar 2.2 klasifikasi endometriosis berdasarkan american fertility society . Jaringan yang disebut endometrium ini dapat . Contoh dari ekspresi gen menyimpang adalah gen hoxa10 /. Pasien dengan infertilitas dan faktor yang terkait (contoh:

Contoh Gambar Endometriosis : Acute Coronary Syndrome Ppt Download / Bisa dilihat di bagian gambar. Gambar 4.1 teori aliran balik darah . Gejala dari endometriosis adalah nyeri panggul parah, pusing, dan aliran darah menstruasi yang deras. Bisa dilihat di bagian gambar Endometriosis adalah kondisi ketika jaringan yang membentuk lapisan dalam dinding rahim tumbuh di luar rahim. Gambar 2.2 klasifikasi endometriosis berdasarkan american fertility society .

Posting Komentar untuk "Contoh Gambar Endometriosis : Acute Coronary Syndrome Ppt Download / Bisa dilihat di bagian gambar"